Note: This product is for research use only.
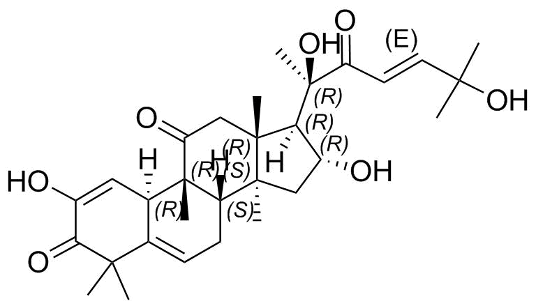
Cucurbitacin I
Formula: C30H42O7
CAS No.: 2222-07-3
M.W.: 514.65
Ornidazole Impurity B
Formula: C7H8ClN3O2
CAS No.: 1384752-15-1
M.W.: 201.61
Arbidol Impurity 12
Formula: C12H13NO3
CAS No.: 7598-91-6
M.W.: 219.24
Flurbiprofen Impurity 53
Formula: C6H5F2N
CAS No.: 367-25-9
M.W.: 129.11