Note: This product is for research use only.
Isepamicin Impurity 1
Formula: C15H30N4O9
CAS No.: N/A
M.W.: 410.42
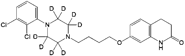
Aripiprazole-D8
Formula: C23H19D8Cl2N3O2
CAS No.: 1089115-06-9
M.W.: 456.43
Labetalol Impurity 61
Formula: C20H24N2O5
CAS No.: 56290-94-9
M.W.: 372.42
Clozapine-d8
Formula: C18H11D8ClN4
CAS No.: 1185053-50-2
M.W.: 334.88