logo
  • Location
  • Email Address
  • Phone

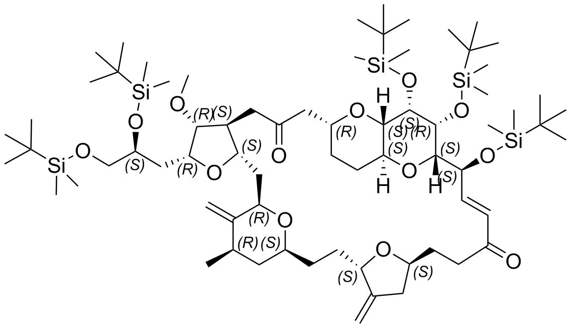
Eribulin Impurity 28

Cat Number: PIMP28309

Eribulin Impurity 28

Eribulin Impurity 28

Note: This product is for research use only.

Cat No.
PIMP28309
Synonyms
(2R,3R,3aS,7R,10S,11S,12S,13R,14S,15S,21S,24S,27S,29R,31R,32aS,E)-2-((S)-2,3-bis((tert-butyldimethylsilyl)oxy)propyl)-12,13,15-tris((tert-butyldimethylsilyl)oxy)-3-methoxy-29-methyl-23,30-dimethylene-2,3,3a,6,7,8,9,10,11,12,13,14,15,19,20,21,22,23,24,25,26,27,28,29,30,31,32,32a-octacosahydro-5H-7,11:10,14:21,24:27,31-tetraepoxycyclohentriaconta[b]furan-5,18(4H)-dione
CAS No.
253128-14-2
Formula
C70H130O13Si5
Molecular Weight
1320.22
Common Size
Quantity
Price

Related Products