logo
  • Location
  • Email Address
  • Phone

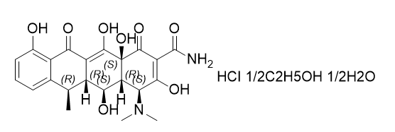
Doxycycline hyclate

Cat Number: PIMP25847

Doxycycline hyclate

Doxycycline hyclate

Note: This product is for research use only.

Cat No.
PIMP25847
Synonyms
6-Desoxy-5-hydroxytetracycline hydrochloride hemihydrate hemiethanolate
CAS No.
24390-14-5
Formula
C22H24N2O8 HCl 0.5C2H6O 0.5H2O
Molecular Weight
444.44 36.46 23.03 9.01
Common Size
Quantity
Price

Related Products