logo
  • Location
  • Email Address
  • Phone

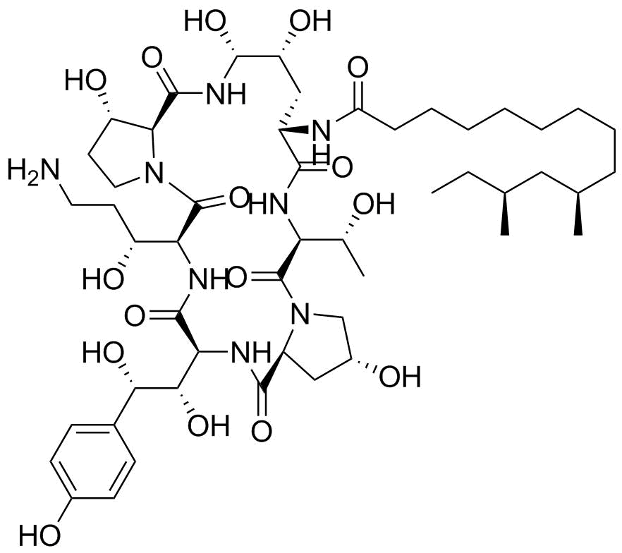
Caspofungin Impurity 1

Cat Number: PIMP21268

Caspofungin Impurity 1

Caspofungin Impurity 1

Note: This product is for research use only.

Cat No.
PIMP21268
Synonyms
(10R,12S)-N-((2R,6S,9S,11R,12R,14aS,15S,20S,23S,25aS)-20-((R)-3-amino-1-hydroxypropyl)-23-((1S,2S)-1,2-dihydroxy-2-(4-hydroxyphenyl)ethyl)-2,11,12,15-tetrahydroxy-6-((R)-1-hydroxyethyl)-5,8,14,19,22,25-hexaoxotetracosahydro-1H-dipyrrolo[2,1-c:2',1'-l][1,4
CAS No.
150283-04-8
Formula
C50H82N8O16
Molecular Weight
1051.25
Common Size
Quantity
Price

Related Products