logo
  • Location
  • Email Address
  • Phone

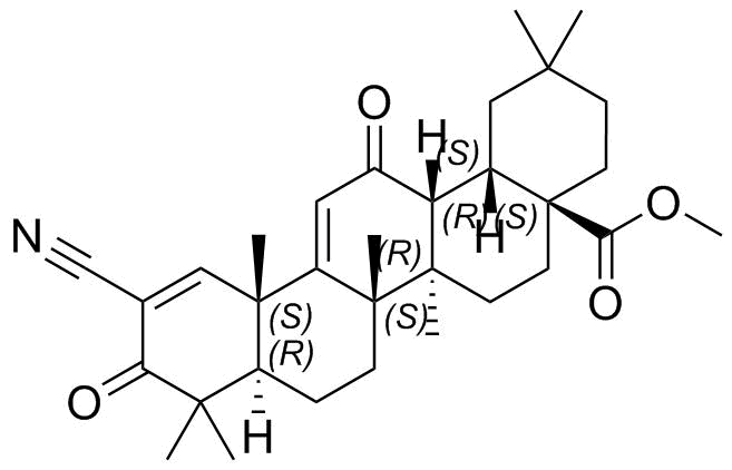
Bardoxolone Methyl

Cat Number: PIMP16774

Bardoxolone Methyl

Bardoxolone Methyl

Note: This product is for research use only.

Cat No.
PIMP16774
Synonyms
Methyl bardoxo lonate; methyl (4aS,6aR,6bS,8aR,12aS,14aR,14bS)-11-cyano-2,2,6a,6b,9,9,12a-heptamethyl-10,14-dioxo-1,3,4,5,6,6a,6b,7,8,8a,9,10,12a,14,14a,14b-hexadecahydropicene-4a(2H)-carboxylate
CAS No.
218600-53-4
Formula
C32H43NO4
Molecular Weight
505.7
Common Size
Quantity
Price

Related Products