logo
  • Location
  • Email Address
  • Phone

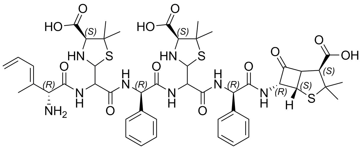
Ampicillin Impurity 38

Cat Number: PIMP13606

Ampicillin Impurity 38

Ampicillin Impurity 38

Note: This product is for research use only.

Cat No.
PIMP13606
Synonyms
(4S,4'S)-2,2'-((2R,8R,14R,E)-14-amino-1-(((1S,4S,7R)-4-carboxy-3,3-dimethyl-6-oxo-2-thiabicyclo[3.2.0]heptan-7-yl)amino)-15-methyl-1,4,7,10,13-pentaoxo-2,8-diphenyl-3,6,9,12-tetraazaoctadeca-15,17-diene-5,11-diyl)bis(5,5-dimethylthiazolidine-4-carboxylic acid)
CAS No.
N/A
Formula
C48H60N8O12S3
Molecular Weight
1037.23
Common Size
Quantity
Price

Related Products