logo
  • Location
  • Email Address
  • Phone

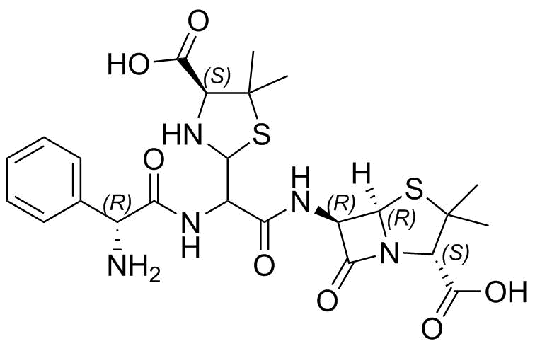
Ampicillin Impurity 37

Cat Number: PIMP13605

Ampicillin Impurity 37

Ampicillin Impurity 37

Note: This product is for research use only.

Cat No.
PIMP13605
Synonyms
(2S,5R,6R)-6-(2-((R)-2-amino-2-phenylacetamido)-2-((4S)-4-carboxy-5,5-dimethylthiazolidin-2-yl)acetamido)-3,3-dimethyl-7-oxo-4-thia-1-azabicyclo[3.2.0]heptane-2-carboxylic acid
CAS No.
N/A
Formula
C24H31N5O7S2
Molecular Weight
565.66
Common Size
Quantity
Price

Related Products