logo
  • Location
  • Email Address
  • Phone

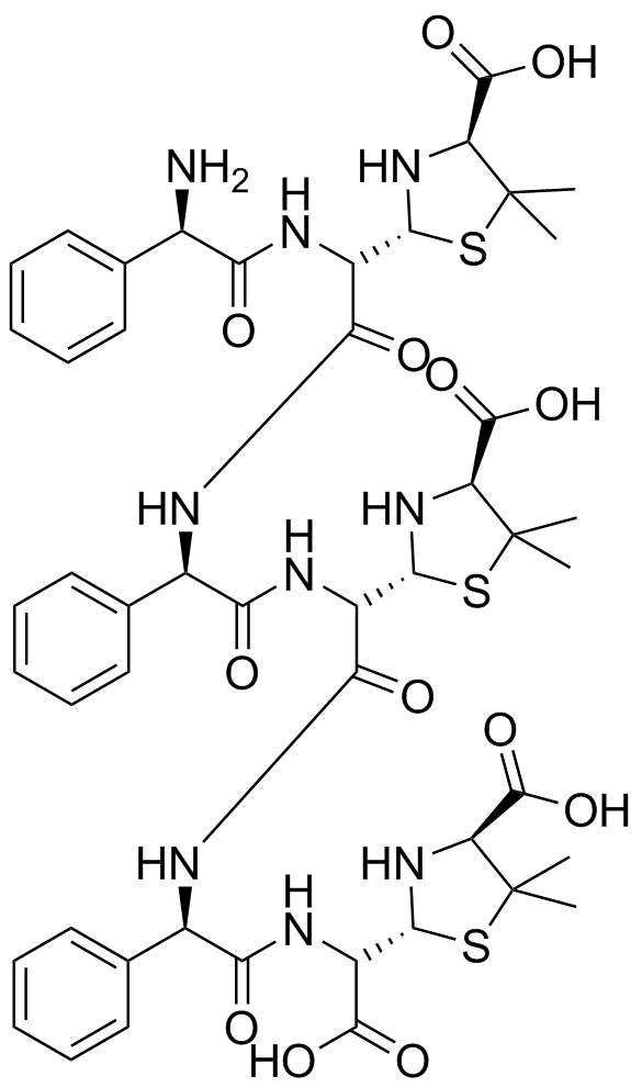
Ampicillin Impurity 32

Cat Number: PIMP13601

Ampicillin Impurity 32

Ampicillin Impurity 32

Note: This product is for research use only.

Cat No.
PIMP13601
Synonyms
(2R,2'R,2''R,4S,4'S,4''S)-2,2',2''-((1R,4R,7R,10R,13R,16R)-16-amino-1-carboxy-3,6,9,12,15-pentaoxo-4,10,16-triphenyl-2,5,8,11,14-pentaazahexadecane-1,7,13-triyl)tris(5,5-dimethylthiazolidine-4-carboxylic acid)
CAS No.
N/A
Formula
C48H59N9O13S3
Molecular Weight
1066.23
Common Size
Quantity
Price

Related Products