logo
  • Location
  • Email Address
  • Phone

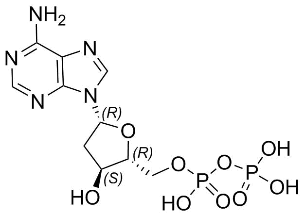
Adenosine Impurity 47

Cat Number: PIMP13359

Adenosine Impurity 47

Adenosine Impurity 47

Note: This product is for research use only.

Cat No.
PIMP13359
Synonyms
dADP; Adenosine, 2′-deoxy-, 5′-pyrophosphate; 2′-Deoxyadenosine 5′-diphosphate; Adenosine, 2′-deoxy-, 5′-(trihydrogen pyrophosphate); Adenosine 5′-(trihydrogen diphosphate), 2′-deoxy-; ((2R,3S,5R)-5-(6-amino-9H-purin-9-yl)-3-hydroxytetrahydrofuran-2-yl)methyl trihydrogen diphosphate
CAS No.
2793-06-8
Formula
C10H15N5O9P2
Molecular Weight
411.2
Common Size
Quantity
Price

Related Products